Shock Buyer's Guide
Remember this list:
- Bilstein
- Penske
- Koni
- Ohlins
- Sachs
- Dynamic Suspension
Not on this list? Almost certainly crap.
(The reason why JRZ and Moton aren't on the "good" list is simple - I never dynoed any. In the absence of any dyno information one way or the other, I choose to remain silent.)
Perhaps I should elaborate a little.
For a while, I was the shock engineer for a race team, and was designing, building, and rebuilding shock packages for customers. A big part of this service was running customer shocks on the dyno to set a baseline for where they were currently at. I dynoed a couple of hundred shocks, representing the spread of almost every shock brand extant.
(All the shock dyno plots on this page came off my dyno.)
Amazingly, save those brands mentioned in that earlier list, this was a non-stop parade of horror, including, but not limited to:
- Adjusters that did absolutely nothing;
- Adjusters that had more crosstalk effect than they had primary effect (ie, a rebound adjuster where 1 click made a 10% change in rebound and a 30% change in compression);
- Adjusters that were nonlinear and exponential;
- Adjusters that peaked in the middle of the adjustment range (in one example, "full hard" was softer than "full soft");

- Shimstacks assembled upside-down;
- Sets of shocks where a front and rear shimstack had been exchanged;
- Shocks valved with forces that were insane (1600 lbs/in @ 3 in/sec was the record);
- Shocks that faded so fast (as they warmed up) that no two runs were ever alike;
- Shocks with adjusters that varied by 10% on the same shock at the same setting, depending on if you got there by going harder or softer; and
- Shocks that adjusted rebound and compression in lockstep, but had so much compression that backing them down to reasonable levels made rebound way too soft (very common with the Japanese brands like GAB, JIC, Tein, etc)
The only shock brands I worked with that actually did what they said they would do were the shocks on that list - and even then, they had their quirks:
Bilstein
Bilstein makes amazing shocks - they are mechanically simple, parts are dirt cheap and readily available, and the innards of their street shocks and their full-race shocks are identical. Crack open a Bilstien street shock, and inside are the same parts as inside their NASCAR shocks. That means that there is a simple conversion process (involving welding a boss onto the shock body to fit a Shraeder valve into the gas chamber) to turn an off-the-shelf street Bilstein into a full-race, user-serviceable, user-revalvable NASCAR Bilstein.
(Oh, and don't turn up your nose at "NASCAR" - they are every bit as sophisticated in NASCAR as any high-dollar road racing series, and they have larger economies of scale so parts are cheaper. Any time you can raid a NASCAR parts bin, do so)
The hardest part of getting race shocks onto production based cars is fitment. Real Race Shocks mount with a standardized 1/2" heim joint, so that aside from body and shaft length, race shocks are all interchangeable. The OEMs, however, seem to change shock mounting methods and dimensions willy-nilly, so the trick for a production-based-car racer is finding somebody who makes a shock that fits. Bilstein, being a huge company (they are a division of Theissen-Krupp), makes a ton of fitments, so if you can get your hands on one - PRESTO! Convert it to a take-apart and you've got real racing shocks for a bargain price.
Bilstein's tech support was also easily the best I ever worked with. Bill Hindorff at Bilstein would design valvings for me to fit design curves, and he went way out of his way to teach me how to design my own shimstacks (partially, I suspect, so I'd stop bothering him to design me shimstacks). I got tons and tons and tons of help from Bill, way out of proportion to my importance, and the end result was me learning how to effectively tune shocks.
There is only one small problem with Bilsteins: no knobs.
Bilstein does not really make adjustable shocks. They have a rebound adjuster (and they use it on the PSS9 series shocks) but it is really crappy and hard to tune - to the point of worthlessness. It's an on-off switch for the most part. That turns out to not really be a problem for those inclined to tune shocks by revalving, but the average customer wants a knob to fiddle with and so Bilsteins wound up being a hard sell. Those that bought them were universally ecstatic with their performance, but it was tough work getting anyone to buy them when they could buy a shiny quadruple-adjustable from some no-name brand.
And those people were invariably unhappy....
NEW Jan 01 2011 It looks like Bilstein finally decided to release a proper adjustable bleed shaft, as they were being shown at PRI 2010. See this press release for more details. I can't tell from the photos how the mechanism works, but I can tell that the upper seal and piston will fit the "standard" Bilstein tube so there is no reason why this shaft couldn't be used in any standard Bilstein. I can also say that - assuming that it hasn't been smoothed and fudged all to hell by the marketing department - that the dyno plot used as an example is NOT the shitty PSS9 "cheesewedge" bleed adjuster that has been the only way to get a bleed on a Bilstein to this point.
The dyno will be the final judge of course, but it looks like there may finally be a viable adjustable option for Bilsteins for people who absolutely must have knobs on their shocks.
You can add a compression adjuster to a Bilstein, by buying Penske or Ohlins remote canisters, throwing away the Shraeder valve and the separator piston, and attaching the remote to the valve hole - that what my personal shocks were - but that's a lot of money to get more weight and little extra functionality. It just isn't needed.


Bilstein also is one of the few sources for MacPhearson struts that can be converted into a take-apart. Locate a set of 1995 Mustang Cobra R struts, gun-drill down the upper stud (there's a hard spot at the friction weld, be careful) and thread the top for the Schraeder valve, and you've got a take-apart. Or if the Mustang stud is too large, you can weld in an inset cup (out of the way of max travel, of course, and don't forget to leave socket clearance)

Penske
Penske shocks are works of art, and they have, hands down, the best adjusters you can get. Their rebound adjuster has tons of control authority and is linear over the meat of its adjustment range. The 8100 series canisters are junk, but the expensive double-adjustable canisters have simply massive control authority (although there are some odd interactions between the two adjusters that you have to be aware of.
Fitment, as with all race shocks, is always an issue, but Penske has a number of off-the-shelf fitments for some common cars (Corvettes and Vipers come to mind) and the design is modular enough that they can probably custom-fit shocks for you if you are prepared to pay for it. They don't make struts, but there is a company (owned by a guy that works out of the Pennsylvania Penske shop) who will build you custom struts.
Penske's customer service is also pretty good; not quite as good as Bilstein, but still good. I never had any problems with Penske, and they were always good to me.
But at the end of the day, a properly-tuned Penske and a properly-tuned Bilstein are fuctionally identical; the only difference is the knobs on the Penske. And you will pay, pay, pay for the Penskes; they are very, very expensive.
The other issue with Penskes is that you have to buy out of the main shops if you want to be sure that they are made correctly. I worked with the PA shop and the MI shop, and they were great. Be very, very, VERY careful about buying "custom" Penskes from other "rebuilders". Some of the worst work I ever saw came out of a particular self-titled Penske "expert" who built a lot of Penskes for National-level autocrossers. He was responsible for the upside-down shimstacks, the one-shimstack-swapped-front-to-rear, and the all time force record bullet points from the Parade of Horror list.
Here's a tip: anybody who builds you a set of shocks had better provide you with a dyno plot for your shocks, as in, "here's the dyno plots for the very shocks I just sold you". If he can't do it (because he doesn't own a dyno) or if he won't do it (because of some secret-squirrel valving he is trying to keep secret) - run away. All he is doing is hiding his own mistakes from you, and there is a reason why he is doing that. A good rebuilder has nothing to hide.
That bears repeating: YOU MUST GET DYNO PLOTS FOR EVERY INDIVIDUAL SHOCK YOU BUY, OR YOU ARE WASTING YOUR MONEY. ANYBODY WHO CANNOT OR WILL NOT PROVIDE DYNO PLOTS FOR YOUR SHOCKS IS A FRAUD OR AN IDIOT
Bottom line here is that if you absolutely must have knobs on your shocks and price is no object, buy Penskes from a direct Penske dealer - and call up the Penske shop on PA and ask them about the guy you are thinking of buying from, if you aren't buying direct.
Also: Penske's Adjustable Shock Technical Manual is required reading if you want to learn about shocks.



Koni
I have a love-hate relationship with Koni. Love, because Koni makes more production-car fitments than anybody, the performance of their shocks is reasonable, and they have a knob. Hate, because Koni won't let anybody service their shocks except Koni and a couple of privileged few rebuilders, and they wouldn't let me become one of those special few. I totally understood their reasoning (and for reasons outside my control, they turned out to be right) but it used to make me mad as hell to have to turn customers away, because they wanted me to rebuild their Konis for them, but Koni wouldn't let me.
Grrr.
That being said, the ubiquitous Koni Yellow is actually a decent shock for the price. The off-the-shelf valving is usually pretty good, the knob is rebound-only with very little crosstalk onto compression, and while the knob is SERIOUSLY nonlinear, it can be worked with: a typical Yellow had 2 1/2 turns of adjustment. The last 1/2 turn to full hard is useless (tiny changes make huge force changes) and the last half to full turn to full soft does nothing, but that turn to turn and a half in the middle of the range usually isn't bad.
Koni's quality control on the Yellows is such that the odds on any two shocks with the same part number matching forces are very small - there's quite a bit of shock-to-shock variation. But bought as a group buy and then dyno matched, it is possible to put together matched sets. Be aware that I've seen Koni Yellows with the same part number that matched perfectly when one was 1/2 turn off full hard, and the other was at full soft - I consider the adjuster knob a way to match shocks on the dyno, NOT a tuning tool.
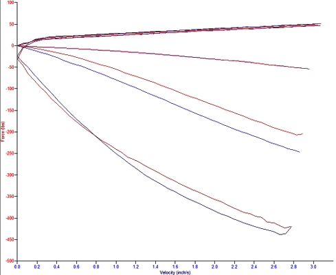
Here is an example of a pair of Koni Yellows. Same part number, dynoed on the same day:

Shock 1 is in red, shock 2 is in blue. As you can see, for the most part, the bump is nearly identical but the rebound is all over the place.
Here's an example with just 3 settings: full hard, full soft, and 1 turn down from full hard:

As you can see, they're nearly identical at full soft, there's a fair amount of difference at full hard, and while the -1 setting is close, it isn't the same. Remember: these are two brand new shocks with the same part number.
That isn't horrible; full hard is way too hard anyway, and the shocks can probably be matched pretty closely on the dyno at more reasonable force levels. But when I was selling Koni packages, it was Standard Operating Procedure to buy a bunch, dyno them all, and pair up the close matches. Ten shocks would usually produce four sets and one oddball pair.
Koni will also rebuild and revalve for you, although the labour and parts pricing is a little high. Koni is "save now, pay later" where Bilstein is "pay now, save later".
Konis that are custom-valved to make a lot of force also have a tendency to explode... but that's a "Doctor, it hurts when I do this" problem, not Koni's fault.
Where there's no Bilstein fitment and Penskes are too expensive, Konis are usually perfectly adequate. They are, by far, the best budget shock and better than any of the crap coming out of Japan. JIC, GAB, Tokiko, Tein - synonyms for "crap".

Koni also makes other models of shocks that are considerably higher end than the Yellows and many of those are user-rebuildable. I dynoed a few of the monotube, non-adjustable models and they worked just fine. I saw no reason to prefer them over the Bilsteins though and my good working relationship with Bilstein tended to steer me in that direction once we started talking non-adjustable monotube. None of the high-end Koni adjustables ever crossed my dyno, so like Moton and JRZ, I have no opinion.
Dyno Plots
You must, must, must have dyno plots for your shocks - and not just "typical" plots, but the actual performance of each of your shocks. Anybody who cannot or will not provide you with dyno plots for your shocks is a charlatan. Running the dyno was a huge eye-opener for not only what was out there, but also on what shocks actually did.
Not only that, but you need as a minimum plots of the forces at slower speeds, around the 3 in/sec peak speed range. Plots of faster speeds are OK, but once you're over about 10 in/sec you're into "big bumps" mode and you're probably just digressing the hell out of the forces anyway. You want to see the shock operating in low speeds, and that is where I found the majority of shock-to-shock variation lived. Shocks that produce near-identical forces at high speeds can be very different at low speeds - get the low speed plots!
I'll say it again: YOU MUST GET DYNO PLOTS FOR EVERY INDIVIDUAL SHOCK YOU BUY, OR YOU ARE WASTING YOUR MONEY. ANYBODY WHO CANNOT OR WILL NOT PROVIDE DYNO PLOTS FOR YOUR SHOCKS IS A FRAUD OR AN IDIOT

Shocks

